Peter Fleissner und Gregor Fleissner

Jenseits des chinesischen Zimmers: Der blinde Springer

Selbstorganisierte Semantik und Pragmatik am Computer

Vorbemerkung

Spätestens seit dem Bau der ersten elektronischen Rechner fasziniert die Frage, ob Maschinen denken können. Die Diskussion darüber war und ist auch heute noch von mannigfaltigen Veränderungen der Interpretation der Begriffe "Denken" oder "Intelligenz" begleitet. Von 1950 bis in die frühen 80er Jahre setzte der Turing-Test eine praktisch nachprüfbare Grenze, ob eine Maschine menschliches Intelligenzniveau erreicht hat. Im Sinne behavioristischer Theorie wurde danach eine Maschine "intelligent" genannt, wenn eine Person (ein Nichtexperte), die über ein Terminal kommuniziert, durch Befragung nicht mehr feststellen kann, ob sich hinter dem Terminal ein Mensch oder ein Computer verbirgt (Turing 1950). Es ist klar, daß der bestandene Test nicht heißt, daß Maschinen im menschlichen Sinn denken können, sondern nur, daß sie ein Verhalten zeigen, das sich auf der Ebene textueller Interaktion von menschlichem Verhalten kaum mehr unterscheiden läßt (ein mit einem Schraubenzieher bewaffneter Techniker würde sich durch eine noch so perfekte Imitation menschlicher Schreibart nicht von einer Maschine täuschen lassen - er würde einfach nachsehen, was sich hinter dem Schirm befindet).

Im Jahre 1982 wurde der Turing-Test und seine spezielle Auffassung von maschineller Intelligenz durch den Philosophen John Searle herausgefordert (Searle 1982, 1990). In einem Gedankenexperiment, das als das "Chinesische Zimmer" in die Geistesgeschichte einging, beschrieb Searle ein System, das den Turing-Test in bezug auf das Verständnis der chinesischen Sprache bestehen würde. Searle selbst befindet sich in seinem Gedankenexperiment in einem Raum, der mit Kärtchen auf chinesisch und mit Indexkarten gefüllt ist, auf denen Instruktionen in englisch geschrieben sind. Durch eine Öffnung in der Wand wird Searle, der uns versichert, daß er keine Ahnung von chinesisch hat, ein chinesischer Text durchgereicht, und danach Zettel, die - wieder auf chinesisch - Fragen zu diesem Text enthalten. Im Lauf der Zeit entwickelt Searle - eingesperrt in das chinesische Zimmer - genügend Geschick, aufgrund der Instruktionen in englisch diejenigen Kärtchen herauszureichen, die richtige Antworten auf chinesisch auf die auf chinesisch gestellten Fragen enthalten. Heißt die Tatsache, daß Searle im Experiment auf chinesische Fragen die richtigen Antworten in chinesisch gibt, daß er selbst chinesisch versteht? Obwohl der Turing-Test als bestanden angesehen werden muß, meint Searle, daß er selbst nach wie vor kein Wort chinesisch verstünde, und weiters verallgemeinert er: "... and neither does any other digital computer because all the computer has is what I have: a formal program that attaches no meaning, interpretation, or content to any of the symbols" (Searle 1982).

Searle beantwortet mit seinem Gedankenexperiment die Frage nach der Denkfähigkeit von Maschinen durch eine Engführung des Begriffs Intelligenz. Durch seine Wahl der Fremdsprachenkenntnisse als speziellem Beispiel glaubt er, die inneren Fähigkeiten (des Verständnisses von Sprache) von der Anwendung dieser Fähigkeiten (korrekte Beantwortung von Fragen) abtrennen zu können (Turkle 1995: 87). Sprachverständnis und das Beantworten von Fragen können (so interpretieren wir Searle) in seiner Sicht als voneinander unabhängige Aktivitäten aufgefaßt werden. Damit weist er der Maschine zu, was der Maschine, und dem Menschen, was des Menschen ist. Die Ordnung der Dinge ist wiederhergestellt. Jedes hat seinen ihm zukommenden Bereich, und der Mensch wird beruhigenderweise durch die Maschine nicht entthront.

Obwohl wir die Schlußfolgerung von Searle (die man vielleicht respektlos so ausdrücken kann, daß ein Computer eben kein Mensch ist) klarerweise teilen, sehen wir in seinem Gedankenexperiment zwei - einander entgegengesetzte - Fehleinschätzungen: Die erste besteht in einer eher reduzierten Sicht des Problems der Fragenbeantwortung, wobei er den Computer und seine Möglichkeiten überschätzt. Wir wissen heute, daß es praktisch nicht möglich ist, ein vollständiges Set von Instruktionen für die Beantwortung von Fragen in befriedigender Weise anzugeben, immer kann uns eine Metafrage aus dem programmierten Korsett werfen. Dem entsprechend sind nach wie vor die Ergebnisse von Übersetzungsprogrammen ohne menschliche Bearbeitung nur eingeschränkt brauchbar, was nicht heißt, daß sie in speziellen Fällen und Disziplinen nicht eine wichtige Unterstützung menschlicher Arbeit darstellen können. Auch die Grenzen der Anwendung von Expertensystemen, etwa bei Vorhandensein von "tacit knowledge", weisen auf diese Schwierigkeiten hin.

Andererseits zeigt sich Searle zu pessimistisch und unterschätzt die Möglichkeiten des Computers, "to attach meaning, interpretation, or content to any of the symbols". Der vorliegende Beitrag entfaltet ein Gegenbeispiel, das zeigen soll, daß in bestimmten Settings auf dem Computer durchaus so etwas wie "Bedeutung" und "Pragmatik" entstehen kann, ja, daß die von Searle erwähnten "Instruktionen" durchaus nicht explizit vom Programm vorgegeben sein müssen, sondern daß sie sich erst im Lauf eines besonderen Interaktions- und Kommunikationsprozesses herausbilden können. Anders als bei menschlicher Kommunikation - und das ist die Einschränkung und der wesentliche Unterschied - ist allerdings die Menge der Symbole, die den virtuellen Subjekten des Programms insgesamt zur Verfügung steht, vom Programm vorgegeben. Welche allerdings davon ausgewählt werden, und welche Bedeutung sie erhalten, ist nicht voraussagbar.

Bei menschlicher Informationsverarbeitung ist die Menge der Symbole nur in reduzierten Fällen vollständig angebbar. Das Neue, das per definitionem nicht vorherzusehen ist, kann daher auch nicht als Element einer Menge angegeben werden, wie es die formale mathematisch-logische Behandlung erfordern würde.

Zur Konstruktion eines Gegenbeispiels zu Searles Auffassung werden anhand dieses Computerprogramms bestimmte Aspekte von Selbstorganisation simuliert, die - wie wir meinen - dadurch besser verstanden und präzisiert werden können, insbesondere das Zusammenspiel von Vorgängen zwischen physischer und symbolischer Welt (Pragmatik) sowie die Entstehung von Semantik durch diese Interaktion. Das Modell wurde von den Paradigmata der "Körperbasierten Artificial Intelligence", der "Emergent AI" (Turkle 1994: 125-148) und dem Setting der Freudschen Psychoanalyse inspiriert . Zur besseren Einordnung des hier beschriebenen Verfahrens wird das Modell mit der Lernmatrix von Steinbuch verglichen.

Das Szenario

Wir treffen einige allgemeine Voraussetzungen, die darstellen sollen, von welchem Blickwinkel aus das Modell aufgebaut wurde. Wir unterscheiden eine physische Welt, Welt A, die durch physikalische Gesetze vollständig beschrieben werden kann, von einer informatischen Welt, Welt B.

Jede Ursache besitzt in Welt A eine ihr eindeutig zugeordnete Wirkung. Diese Welt ist die (wie wir heute wissen, eingeschränkte Sicht der) Welt der klassischen Mechanik, actio est reactio.

Die zweite Welt, Welt B, zunächst streng von der ersten geschieden, ist die Welt der Information. Hier ist der Gegenpol zur Eindeutigkeit gegeben, actio non est reactio. Die Ursache erzeugt zwar eine Wirkung, aber welche aus einer Menge möglicher Wirkungen das sein wird, ist nicht vorhersehbar. Die Wirkung besitzt also gegenüber der Ursache bestimmte Freiheiten, sie ist mehrdeutig. Die Ursache beruht zwar - wie in Welt A - auf einer physischen Basis, diese ist in unserem Zusammenhang aber irrelevant. Sie hat hier ausschließlich informativen, symbolischen Charakter und führt als Wirkung zu weiteren Symbolen bzw. Handlungen.

Im vorliegenden Computerprogramm werden beide Welten simuliert und miteinander in Beziehung gesetzt, um eine bestimmte Aufgabe in Welt A unter Mitwirkung von Welt B zu lösen. Dabei wird von einem idealisierten Szenario ausgegangen, das kurz beschrieben werden soll:

In Welt A existieren drei Hauptelemente: die "Barriere", ein "Springer" und ein "Sprecher". Springer und Sprecher erhalten ihre Namen nach der ihnen zugeordneten Hauptaktivität. Die Barriere, ein Hindernis, dessen Breite zufällig wechselt, repräsentiert die Physis, die "Natur". Die Breite des Hindernisses nimmt zufällig u unterschiedliche diskrete Werte an, wobei die einzelnen Werte mit dem Index k bezeichnet werden sollen, also k=1...u. (siehe Abb. 1).

photo

Abbildung 1: Drei verschiedene Barrierenbreiten und eine Flugbahn des "blinden Springers".

photo

Abbildung 2: Verschiedene Flugbahnen des "blinden Springers"

Die Aufgabe besteht darin, daß diese Barriere vom "Springer" korrekt (d.h. mit einem Sprung, der nicht zu kurz und nicht zu lang ist) übersprungen werden soll. In Abbildung 2 sind mehrere Flugbahnen des Springers eingezeichnet. Nur ein "korrekter" Sprung (durchgezogene Linie) gilt als erfolgreich, zu lange oder zu kurze Sprünge (gestrichelte Linien) werden als Mißerfolg gewertet. Die Schwierigkeit dabei ist, daß der Springer blind ist, d.h. die Breite des Hindernisses nicht selbst feststellen kann. Er ist auf Hilfe angewiesen. Sie kommt vom "Sprecher", der die jeweilige Breite des Hindernisses feststellen kann. Der Sprecher hat die Möglichkeit, Laute auszustoßen, die der Springer hören und als Grundlage für die Wahl seines Verhaltens nützen kann.

Der "blinde Springer" hat folgende Fähigkeiten:

1. Er kann "springen" (und zwar mit t vorher festliegenden Sprunglängen), aber nicht sprechen

2. Er kann "hören" (und zwar die s Sprachlaute des Sprechers), aber nicht sehen

3. Er kann das Gehörte mit bestimmter Wahrscheinlichkeit mit seiner "Entscheidung", wie weit er springt, verknüpfen.

4. Er kann den Erfolg oder Mißerfolg seines Sprunges feststellen. Erfolg erhöht die entsprechende Verknüpfungswahrscheinlichkeit zwischen gehörtem Laut und seiner Sprungweite, Mißerfolg reduziert sie.

Die Beschreibung des Zusammenhangs zwischen Hören und Springen erfolgt mittels einer Wahrscheinlichkeitsmatrix H. Sie ist eine Markoff-Matrix mit den Zeilensummen 1, also H1 = 1, die aus s Zeilen und t Spalten besteht. Ihre Elemente h(i,j), i=1...s, j=1...t, haben anfänglich alle die gleichen Werte: h(i,j) = 1/t.

Der Sprecher besitzt folgende Eigenschaften:

1. Er kann "sprechen", d.h. u unterscheidbare Laute ausstoßen, aber nicht springen

2. Er kann das Hindernis "sehen", die Breite der Barriere feststellen, aber nicht hören

3. Er kann die wahrgenommene Breite der Barriere mit bestimmter Wahrscheinlichkeit mit bestimmten Sprachlauten verknüpfen.

4. Er kann den Erfolg oder Mißerfolg des Sprunges feststellen. Erfolg erhöht die entsprechende Verknüpfungswahrscheinlichkeit zwischen wahrgenommener Barrierenbreite und geäußertem Laut, Mißerfolg reduziert sie.

Die Beschreibung des Zusammenhangs erfolgt mittels einer Wahrscheinlichkeitsmatrix G, einer Markoff-Matrix mit den Zeilensummen 1, also G1 = 1, die aus u Zeilen und s Spalten besteht. Die Elemente g(k,i), k=1...u, i=1...s, haben anfänglich alle die gleichen Werte: g(k,i) = 1/s.

Der blinde Springer agiert in Welt A, seine Hörfähigkeit ist er eine Schnittstelle zu Welt B. Der Sprecher agiert in Welt B, durch seine Beobachterrolle besitzt er eine Schnittstelle zu Welt A.

Einen Überblick über die Programmstruktur bietet Abb. 3. In der Mitte der Abbildung ist die Barriere angedeutet. Ein Zufallsgenerator wählt eine bestimmte Breite aus einer Reihe von Möglichkeiten. Der senkrechte Doppelpfeil symbolisiert die Variabilität der Barriere. Rechts von der Barriere ist die Sprecher-Matrix in Form eines Rechtecks dargestellt. Das Rechteck soll die Übergangsmatrix verkörpern, die eine spezielle beobachtete Breite des Hindernisses (Zeileninput) mit einem Laut verknüpft, der zufällig ausgewählt wird (Spaltenoutput, als variabel dargestellt durch den waagrechten Doppelpfeil). Der blinde Springer (Rechteck auf der linken Seite der Graphik) "hört" den Laut (Zeileninput von H) und verknüpft ihn zufällig mit einer Sprungweite (Spaltenoutput von H). In Abb. 3 ist die Matrix H gestürzt dargestellt (Spalten und Zeilen vertauscht gegenüber der traditionellen Konvention, daß die Zeilen horizontal verlaufen).

photo

Abbildung 3: Grundstruktur des Programms

Die Schwierigkeit besteht darin, daß der Beobachter zwar etwas sagen kann, aber die Bedeutung des Gesagten anfänglich noch nicht festliegt. Er "stammelt" also zunächst nur einen Laut. Der Springer kann den Laut hören und dann springen, und zwar entweder kürzer, oder länger als die Barriere, oder korrekt. Ein Vergleich zwischen Barrierenbreite und tatsächlichem Sprung wird als Erfolg bzw. Mißerfolg verbucht (siehe auch Abb. 2). Das korrekte Springen bedeutet Erfolg, das nichtkorrekte einen Mißerfolg. Erfolg bzw. Mißerfolg verändern die Kopplungswahrscheinlichkeiten der Übergangsmatrizen bei Sprecher und Springer.

Die Realisierung des Simulationsmodells

Das Programm wurde mit einer graphischen Oberfläche versehen (siehe Abb. 4), auf der sich Sprecher und Springer befinden. Der Springer setzt mit einer Wurfparabel über die Barriere hinweg, bzw. er springt zu weit (ins Wasser) oder zu kurz (auf die Spitzen der Barriere).

Für die Barrierenbreiten wählten wir u = 3, die möglichen Breiten werden mit KLEIN, NORMAL und GROSS bezeichnet. Die Sprungweite des Springers umfaßt t = 4 Möglichkeiten, ZUKURZ, KURZ, MITTEL und LANG. u und t sind nicht unbedingt gleich. t ist in unserem Beispiel um 1 größer als u, da der Springer nach unseren Annahmen auch noch kürzer als die kürzeste mögliche Barriere springen kann. Die s = 3 Sprachlaute symbolisierten wir mit A, B und C, obwohl die Wahl der Laute völlig beliebig ist.

Formal läßt sich der Ablauf der Simulation wie folgt darstellen:

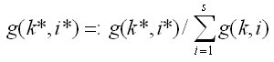
Ein Zufallsgenerator bestimmt zunächst die Barrierenbreite k*, die der Sprecher feststellt (z.B. k* = 2; NORMAL). Zur Bestimmung des Sprachlauts zieht ein zweiter Zufallsgenerator eine Zahl y*, 0 ² y* < 1, die zunächst einer Gleichverteilung entnommen wird, da die g(k,i) noch alle gleich groß sind. Das zu y* gehörige i*, das den Sprachlaut festlegt, wird aus folgender Beziehung bestimmt:

photo

Für diese und die nächste Formel soll folgende Konvention gelten: Ist der letzte Wert des Laufindex der Summation kleiner als der erste, also z.B. 0 (der letzte Wert) < 1 (der erste Wert), so wird gar keine Summation durchgeführt. Das Ergebnis der linken Seite wäre in diesem Fall 0. Ferner soll für i* = s bzw. für j* = t auf der rechten Seite das "kleiner gleich" Zeichen anstelle des "kleiner" Zeichens stehen. Z.B. sei y*=0.13426556, damit wird i* = 1, als Sprachlaut also "A" ausgewählt. Der Sprecher sagt "A" zum Springer.

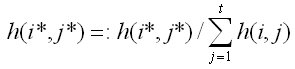
Beim Springer spielt sich ein analoger Vorgang ab. Er "wählt" auf Basis einer gleichverteilten Zufallszahl z* unter der Bedingung des gehörten Sprachlauts (im Beispiel: i*=1; Sprachlaut "A") seine Sprungweite j* aufgrund der Beziehung

photo

Z.B. sei z*=0,936274, damit wird j* = 4, als Sprungweite also "LANG" ausgewählt. Der Springer springt, aber zu weit, daher, wie beide feststellen, ein Mißerfolg.

Nun wird gelernt, d.h., die Wahrscheinlichkeiten g und h werden verändert. Da ein Mißerfolg vorliegt, wird

g(k*,i*) := g(k*,i*)/Faktorg,

gesetzt, ebenso

h(i*,j*) := h(i*,j*)/Faktorh.

Faktorg und Faktorh sind die Lernparameter, Faktorg > 1 und Faktorh > 1. In unserem Beispiel wählten wir Faktorg = Faktorh = 2, also

g(2,1) := g(k*,i*)/2 = 0,333/2

gesetzt, ebenso

h(1,4) := h(i*,j*)/2 = 0,25/2.

Alle anderen Elemente der Markoff-Matrizen bleiben unverändert.

Im Falle eines Erfolgs wären die Wahrscheinlichkeiten vergrößert worden:

g(k*,i*) = g(k*,i*)*Faktorg

und

h(i*,j*) = h(i*,j*)*Faktorh.

Nun ist aber die Zeilensummenbedingung der Markoff-Matrix verletzt. Eine Normierung auf Zeilensumme = 1 behebt dieses Problem. Es gilt also zusätzlich

photo und
photo

Das Ergebnis

Wenn in einer Iteration der Simulation ein korrekter (nicht korrekter) Sprung erfolgte, werden die dazugehörigen Elemente der beiden Markoff-Matrizen (also je eines pro Matrix) vergrößert (verkleinert), alle anderen wegen der Normierungserfordernis verkleinert (vergrößert). Die so entstandenen Zeilenmaxima bzw. -minima können während der Anfangsphase eines Simulationslaufes durchaus noch ihren Platz ändern. Nach einigen -zig Versuchen "lernt" der Springer jedoch, auf den speziellen Zuruf des Sprechers korrekt zu springen, der Sprecher "lernt", die jeweilige Barrierenbreite mit einem jeweils dazugehörigen Sprachlaut zu bezeichnen, der sich im Lauf der Zeit nicht mehr ändert. Die entsprechenden Wahrscheinlichkeiten konvergieren gegen 1 (bzw. 0). Die anfänglich flexible "Wortwahl" ist starr und irreversibel geworden. Die Worte besitzen eine für die weitere Simulation unveränderliche Bedeutung.

  • Hier kann der Algorithmus in Aktion betrachtet werden, allerdings bisher nur als Baustelle

    Bei einer Wiederholung des Experiments können sich unterschiedliche Bezeichnungen für eine bestimmte Barrierenbreite herausbilden, z.B. könnte im ersten Fall "KLEIN" mit "A" bezeichnet worden sein, in der Wiederholung könnte "KLEIN" mit "C" benannt werden. Die Semantik der Sprachlaute ist also arbiträr wählbar (zufällig) geworden, aber einmal festgelegt, gibt es innerhalb eines Durchlaufs ab einer bestimmten Anzahl von Sprüngen nur noch äußerst selten (mit vernachlässigbarer Wahrscheinlichkeit) eine Änderung.

    Es ist interessant, daß sich während eines Durchlaufs Situationen einstellen, die Äquivokationen (gleicher Name für verschiedene Objekte) gleichen. So konkurrieren z.B. die Barrierenbreiten "KLEIN" und "NORMAL" durch längere Zeit hindurch um die Bezeichnung durch den Buchstaben "B". "B" bedeutet für den Springer, daß er mit etwa gleicher Wahrscheinlichkeit "KURZ" oder auch "MITTEL" springen soll. Nach längerer Laufzeit stellt sich jedoch die Eindeutigkeit her, indem ev. "KLEIN" mit einer Wahrscheinlichkeit von 1 "B" als Bedeutung zugeordnet erhält, "B" bedeutet dann also "KLEIN", "C" (oder "A") heißt dann etwa für den Springer, er solle eine Sprungweite von "MITTEL" (oder "LANG") wählen.

    Auch das Umgekehrte zur Äquivokation kann auftreten, nämlich zwei unterschiedliche Bezeichnungen für dasselbe Objekt. In unserem Fall könnte die Barrierenbreite "KLEIN" mit gleicher Wahrscheinlichkeit durch die Laute "B" und "C" bezeichnet werden.

    Die Sprungweite "ZUKURZ" (ihr entspricht kein Zuruf durch den Sprecher) wird durch die Normierungsvorgänge letztlich auf eine vernachlässigbar kleine Wahrscheinlichkeit eingeschränkt. Der Springt springt dann so gut wie nie mehr zu kurz.

    Was sich in diesem Computerexperiment zeigt, ist einerseits die Anpassung des Informationsapparates an eine in bestimmter Weise wahrgenommene und erfahrene Umwelt, andererseits stellt sich durch die zunächst zufällige Kommunikation von Springer und Sprecher eine zuverlässige Vereinbarung über die Bedeutung der in der Kommunikation verwendeten Symbole her. In Welt B wird nach einer bestimmten Lernzeit eine sprachliche Konstruktion von Welt A hergestellt, d.h. es werden die als erfolgreich wahrgenommenen Zusammenhänge von Welt A in Welt B übernommen. Zu Anfang der Simulation gibt es eine Freiheit in der Zuordnung, die in Welt A, beschrieben im klassischen physikalischen Bild, nicht vorkommt. Später verliert sich die Zufälligkeit. Eindeutigkeit stellt sich ein, und damit auch eine immer erfolgreichere Kooperation.

    Es scheint erwähnenswert, daß sich bei einer größeren Anzahl von möglichen Lauten (Spalten der Sprechermatrix) oder möglichen Beobachtungen (Zeilen der Sprechermatrix) als der Zahl angenommener Hindernisbreiten dennoch Konvergenz gegen Wahrscheinlichkeit 1 einstellt, was bedeutet, daß alle anderen Wahrscheinlichkeiten in der gleichen Zeile gegen Null gehen. Dadurch "wählt" das System sozusagen so viele Laute aus wie unterschiedliche Barrierebreiten auftreten. Es beschränkt sein Repertoire auf das zur hinreichend differenzierten Unterscheidung Notwendige.

    Jenseits des chinesischen Zimmers

    Der "blinde Springer" ist ein Beispiel eines Programms, das in seinen Möglichkeiten über das "Chinesische Zimmer" von Searle hinausweist. Man könnte die beiden Simulationsmodelle in Gedanken vergleichbar machen, indem man die chinesischen Fragekarten mit den Barrierebreiten und die chinesischen Antwortkärtchen mit den Sprunglängen identifiziert. Die Instruktionen stellen die Brücke zwischen den Fragen und den Antworten dar. Sind bei Searle die Instruktionen für die Zuordnung von Frage- und Antwortkarten fix vorgegeben (und das ist nur für eine eingeschränkte Zahl von Fragen und Antworten realisierbar), so bilden sich beim "blinden Springer" diese Zuordnungen durch die Feststellung von Erfolg oder Irrtum in Interaktion zwischen Springer und Sprecher erst "von selbst" und unvorhersagbar heraus.

    In bezug auf das eingeschränkte Repertoire (die Menge der vorhandenen Karten und Instruktionen bei Searle entspricht der endlichen Menge von Lauten bzw. Sprungweiten und Barrierebreiten beim blinden Springer) weisen die beiden Modelle durchaus die gleiche Komplexität auf. In dieser Hinsicht werden die Möglichkeiten des chinesischen Zimmers durch den blinden Springer nicht überschritten.

    Natürlich kann nur dadurch von Selbstorganisation gesprochen werden, indem wir bestimmte Prozesse im Computer als unvorhersagbar annehmen, allen voran die Erzeugung von Zufallszahlen. Der Zufallsgenerator wird in unserem Zusammenhang als black box angesehen, obwohl auch die Zufallszahlen auf der Ebene des Maschinencodes durch einen bestimmten Algorithmus erzeugt werden. Diese willkürliche Einschränkung der Sicht entspricht der Annahme des Turing-Tests für die Interaktion des Menschen mit einem Terminal. Auch dort wird das Terminal als eine black box phantasiert, hinter dem sich entweder ein lebendiger Mensch oder eine Maschine verbergen kann. Der menschliche Forschungsdrang wird sozusagen künstlich gelähmt.

    Ein Vergleich mit Steinbuchs "Lernmatrix"

    Abschließend soll die "Lernmatrix" von Steinbuch (1961a; 1961b) mit dem hier beschriebenen Modell verglichen werden. Die Lernmatrix war ursprünglich als anorganische, elektronische Realisierung des "bedingten Reflexes" gedacht , der bei höheren Lebewesen vorkommt. Im Gegensatz zu angeborenen Reflexen (z. B. der Sehnenreflex: Durch Beklopfen der Achillessehne oder der Patellarsehne läßt sich eine Einzelzuckung der zugehörigen Muskeln bewirken; oder der Fußsohlenreflex: Bei mechanischer Einwirkung auf die Haut der Fußsohle werden die Zehen bzw. der Vorderfuß kontrahiert) bilden sich bedingte Reflexe erst durch bestimmte spezielle Erfahrungen aus. Ein berühmtes erstes Beispiel ist der Hundeversuch von Iwan Petrowitsch Pawlow (Medizinnobelpreis 1904), der um die Jahrhundertwende nachwies, daß die verstärkte Magensaftabsonderung bei Hunden, die einen angeborenen Reflex darstellt und bei Anwesenheit von Futter zustandekommt, sich auch dann einstellt, wenn z.B. nur ein Glockenton ertönt, falls dieser Ton vorher mehrmals gemeinsam mit dem Futter angeboten worden war. Steinbuch sieht in bedingten Reflexen "Schaltungen, deren Verknüpfungsgesetz sich in Abhängigkeit von der Eingangsinformation ändert" (Steinbuch 1961a: 37). Seine "Lernmatrix" würde eine derartige Schaltung darstellen, in deren Lernphase sich ein innerer "Zuordner" herausbilde, der in der "Kannphase" die von außen vorgegebene Zuordnung zwischen Input und Output widerspiegeln würde. Zur Charakterisierung des Vorhandenseins eines Zusammenhangs zwischen Input und Output schlägt Steinbuch einen speziellen Indikator, er nennt ihn "Indiz" s, vor, "ein Maß dafür ..., mit welcher Wahrscheinlichkeit man auf Grund der bisherigen Beobachtungen schließen kann, daß e ein Kennzeichen für b ist." (Steinbuch 1961a: 38). e meint dabei ein (binäres) Eingangssignal, b seine zugehörige Bedeutung bzw. den gewünschten Output. s = 1 heißt dabei, daß e mit maximaler Wahrscheinlichkeit ein Kennzeichen für b ist, während s = 0 besagt, daß aus den bisher angebotenen Datenpaaren von e und b keinerlei Zusammenhang erschlossen werden kann. s = -1 heißt, daß der Zusammenhang von b mit der Negation von e höchste Wahrscheinlichkeit besitzt. s wird dabei nicht aus einer einzigen Beobachtung errechnet, sondern es wird eine gewisse (vorgebbare) Anzahl von Beobachtungen abgewartet, die alle bei der Berechnung von s berücksichtigt werden.

    Nun wollen wir die Lernmatrix mit unserem Modell des blinden Springers vergleichen. Es ist evident, daß in unserem Modell nicht eine, sondern zwei Matrizen vorliegen, die der Lernmatrix ähnlich sind. s spielt eine analoge Rolle wie unsere g(k,i) bzw. h(i,j), die das Ergebnis der kumulierten Erfahrung mit der Außenwelt repräsentieren. Da wir aber keine Binärsignale benützen, sondern Ereignisse welcher Art auch immer, verbleiben wir im nichtnegativen Bereich der üblichen Definition von Wahrscheinlichkeiten (für eine Lernmatrix mit nichtbinären Signalen siehe Müller 1964). Eine Veränderung von g(k,i) bzw. h(i,j) erfolgt in unserem Modell zunächst bei Erfolg bzw. Mißerfolg nur punktuell, an einem einzelnen Element der Matrix, durch die Normierungsvorgänge werden aber alle Wahrscheinlichkeiten in der selben Zeile verändert. Dieser Effekt bleibt im Steinbuchschen Modell aus. Hier wird ausschließlich ein Element am Kreuzungspunkt eines einzelnen Inputs und eines Outputs berücksichtigt. Eine weitere Differenz besteht in der Trennung der Lern- von der Kannphase bei Steinbuch, während unser Modell diese Trennung nicht kennt, sondern in Ausübung seiner Aktivitäten lernt. Bei Steinbuch erfolgt der Übergang zwischen "unbelehrtem" und "gelehrtem" Zustand abrupt, im Sinne einer Sprungfunktion, bei uns verläuft er inkremental über unterschiedlich große Wahrscheinlichkeiten.

    Der größte qualitative Unterschied zum Modell von Steinbuch ist unseres Erachtens im Vorhandensein von zwei Matrizen in unserem Modell zu sehen, wonach (analog zu Niklas Luhmanns systemtheoretischer Begriff der "doppelten Kontingenz") eine bewertete (es muß die Unterscheidbarkeit von Erfolg und Irrtum möglich sein) Interaktion von Individuen (Pragmatik) die Konstruktion (also einen Entwurf, nicht ein Abbild) von Semantik ermöglicht.

    Die Steinbuchsche Lernmatrix führt zu eindeutigen Ergebnissen und läßt keinen Platz für Freiheitsgrade, während unser Modell die Wahl der Symbolik ermöglicht. Von der pragmatischen Ebene aus betrachtet lernen beide Modelle. Während Steinbuchs Matrix direkt lernt, mit von außen vorgegebener Zuordnung zwischen Input und Output, bringt der "blinde Springer" mittels einer in Kooperation mit dem Sprecher festgelegten "Sprache" das gleiche Ergebnis, aber auf einem Umweg, indirekt, zustande. Die Sprache wird erst in Ausübung gemeinsamer Praxis konstruiert. Letztere Beschreibung kann u. E. bestimmte Aspekte der Kommunikation höherer Lebewesen besser darstellen als ein rigider Determinismus.

    Ein soziales System?

    Mit einiger Übertreibung könnten wir beim Modell des blinden Springers sogar von der Entstehung eines "sozialen Systems" sprechen, wenn wir Luhmanns Definition heranziehen, in der die "doppelte Kontingenz" eine zentrale Rolle spielt. Diese doppelte Zufälligkeit wäre durch die Wahrscheinlichkeitsannahmen bei Springer und Sprecher gegeben. Luhmann gibt bei einiger Phantasie im klaren Soziologendeutsch eine Beschreibung unseres Modells. Man muß nur Springer und Sprecher als black box ansehen: "Die Grundsituation der doppelten Kontingenz ist einfach: Zwei black boxes bekommen es, aufgrund welcher Zufälle auch immer, miteinander zu tun...Der Versuch, den anderen zu berechnen, würde zwangsläufig scheitern. Mit dem Versuch, ihn aus seiner Umwelt heraus zu beeinflussen, kann man Glück haben und Erfahrungen sammeln... Die schwarzen Kästen erzeugen sozusagen Weißheit, wenn sie aufeinandertreffen, jedenfalls ausreichende Transparenz für den Verkehr miteinander. Sie erzeugen durch ihr bloßes Unterstellen Realitätsgewißheit, weil dies Unterstellen zu einem Unterstellen des Unterstellens beim alter Ego führt...sie lernen jeweils selbstreferentiell in ihrer je eigenen Beobachterperspektive. Das, was sie beobachten, können sie durch eigenes Handeln zu beeinflussen versuchen, und am feedback können sie wiederum lernen. Auf diese Weise kann eine emergente Ordnung zustandekommen, die bedingt ist durch die Komplexität der sie ermöglichenden Systeme, die aber nicht davon abhängt, daß diese Komplexität auch berechnet, auch kontrolliert werden kann. Wir nennen diese emergente Ordnung soziales System." (Luhmann 1988: 156-157).

    Schlußbemerkung

    Anhand des hier vorgestellten Modells des blinden Springers, das die Sicht der "Körperbasierten (embodied and behavior-based) Artificial Intelligence" (wobei wir die "Leiblichkeit" aus Kosten- und Zeitgründen ebenfalls simulieren), der "Emergent AI" und des Freudschen Analysesettings nützt, kann ein gewisser heuristischer Wert für Untersuchungen im Bereich der Informationswissenschaften vermutet werden, die sich nicht bloß entweder an sprachlichen oder an physischen Phänomenen orientieren, sondern von einer interaktiven Kombination beider Welten ausgehen. Es liegen uns Hinweise vor, daß dieser kombinierte Ansatz bei geeigneter Modifikation eventuell auch in anderen wissenschaftlichen Disziplinen fruchtbar gemacht werden könnte. Eine Möglichkeit der Modifikation könnte darin bestehen, daß die beiden Matrizen direkt miteinander gekoppelt werden, also der Ausgang der einen Matrix direkt als Eingang der anderen Matrix fungiert. Damit würde eine Reduktion auf die sprachliche Ebene vorgenommen. Notwendig ist zusätzlich irgend eine Art eines Algorithmus, der die Verknüpfungswahrscheinlichkeiten zwischen Input und Output zu verändern erlaubt. Im Modell des blinden Springers wählten wir ein Erfolgskriterium, wobei die Übergangswahrscheinlichkeiten also bei Erfolg erhöht, bzw. bei Mißerfolg reduziert werden. Interessanterweise kann eine Kopplung und Koordination der beiden "Individuen" auch dann zustandekommen, wenn kein Kriterium des äußerren Erfolgs vorliegt, sondern wenn die Erhöhung bzw. Reduzierung der Wahrscheinlichkeiten zufällig erfolgen. Im Rahmen einer Dissertation im Bereich der Ethologie.wurde dieser Weg bereits erfolgreich beschritten. Die Wahrscheinlichkeiten wurden sozusagen selbstreferentiell verändert, also immer dann, wenn der/die andere einen Laut geäußert hat, wurde zunächst zufällig ein Laut produziert, der aber nicht nach außen weitergegeben (sozusagen nur "gedacht") wurde, sondern nur die Spalte zu bezeichnen half, in der die Wahrscheinlichkeit erhöht werden sollte. Danach wurde mit demselben Mechanismus aus der neuen (normierten) Verteilung ein Laut gezogen, der zur Kommunikation mit dem/der anderen eingesetzt wird. In diesem Fall kommt also ein Verfahren zur Anwendung, das nicht von einer direkten Erfolgsverstärkung ausgeht, sondern vom indirekten Nutzen koordinierten Verhaltens.

    Eine weitere Modifikation könnte in der verschachtelten wiederholten Anwendung des gleichen Prinzips von Springer und Sprecher zur Herausbildung hierarchischer Strukturen bestehen, wobei bestimmte Konstanten des vorliegenden Modells (z. B. die Zahl der verfügbaren Laute oder der Anzahl unterschiedlicher Sprungweiten) einer emergenten Veränderung unterworfen werden. Derartige Forschungsarbeit muß aber erst in Zukunft geleistet werden.

    Literatur

    Luhmann, N., Soziale Syteme, Grundriß einer allgemeinen Theorie, Suhrkamp, Frankfurt am Main 1988

    Müller, P., Lernmatrix für nichtbinäre Signale, in: Neuere Ergebnisse der Kybernetik, Oldenbourg, München, Wien 1964: 313-325

    Prem, E., Körperbasierte Artificial Intelligence, Vortrag am Österreichischen Forschungsinstitut für Artificial Intelligence, am 17. Dezember 1996, Schottengasse 3, A-1010 Wien

    Searle, J., The Myth of the Computer, in: New York Review of Books, 29. April 1982: 5

    Searle, J., Is the Brain's Mind a Computer Program? in: Scientific American, January 1990: 26-31

    Steinbuch, K., Die Lernmatrix, in: Kybernetik, Band 1, Heft 1, Jänner 1961a: 36-45

    Steinbuch, K., Automat und Mensch - Über menschliche und künstliche Intelligenz, Springer, Berlin/Göttingen/Heidelberg 1961b: 153-176

    Turing, A., Computing Machinery and Intelligence, in: Mind 59, 1950: 434-460

    Turkle, S., Life on the Screen, Simon & Schuster, New York etc. 1995